当前位置: 首页 > 产品大全 > 广州市社会医疗保险门诊特定项目、门诊指定慢性病药品目录范围(2012年)

广州市社会医疗保险门诊特定项目、门诊指定慢性病药品目录范围(2012年)

广州市社会医疗保险门诊特定项目、门诊指定慢性病药品目录范围(2012年)

为完善广州市社会医疗保险制度,2012年广州市针对门诊特定项目和指定慢性病药品目录范围进行了明确,旨在减轻参保人员在门诊治疗特定疾病和慢性病的费用负担。以下为2012年广州市医保相关目录的范围概述:

一、门诊特定项目
门诊特定项目是指经广州市医疗保险管理部门认定的,在门诊治疗中需长期管理或特殊干预的疾病,如恶性肿瘤、器官移植后抗排异治疗、血友病等。参保人员在指定医疗机构接受这些项目的门诊治疗时,其相关医疗费用(包括药品、检查、治疗等)可按规定纳入医保支付范围。具体项目以广州市人力资源和社会保障局发布的官方目录为准,需符合诊断标准和治疗规范。

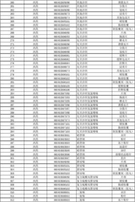
二、门诊指定慢性病药品目录范围
门诊指定慢性病药品目录覆盖了多种常见慢性疾病,旨在通过医保支持,帮助参保人员长期控制病情。2012年纳入目录的慢性病包括高血压、糖尿病、冠心病、慢性阻塞性肺疾病、类风湿关节炎等。目录内的药品主要为治疗这些疾病的基本药物和常用药物,例如降压药、降糖药、抗凝药等。参保人员在门诊就诊时,若诊断为指定慢性病,并开具目录内药品,可享受医保报销,报销比例和限额根据当年医保政策执行。

三、实施要点

  1. 参保人员需在指定医疗机构就诊,并由医生根据病情开具符合目录的药品或治疗项目。
  2. 医保支付需符合相关诊疗规范和用药指南,防止滥用。
  3. 目录内容可能根据医疗技术发展和基金承受能力进行调整,参保人员应及时关注官方更新。

2012年广州市医保门诊特定项目和指定慢性病药品目录的实施,有效提升了参保人员的医疗保障水平,促进了慢性病的规范管理。建议参保人员通过广州市医保局官网或咨询热线获取详细目录信息,确保合规享受待遇。

如若转载,请注明出处:http://www.gzyb.net/product/602.html

更新时间:2025-10-29 22:30:59